Vynález fotografie ve druhé polovině 19. století byl pro přírodní a technické vědy doslova dar z nebes. Zejména pro astronomii, vědu, která je téměř výhradně závislá na množství zaznamenaného světla od vzdálených objektů, předznamenala fotografie výrazný posun vpřed. V prvním článku ze seriálu o Astronomické fotografii se zaměříme na fotografování Slunce a Měsíce.
Vynález fotografie ve druhé polovině 19.století byl pro přírodní a technické vědy doslova dar z nebes. Zejména pro astronomii, vědu, která je téměř výhradně závislá na množství zaznamenaného světla od vzdálených objektů, předznamenala fotografie výrazný posun vpřed. Na rozdíl od lidského oka, které sčítá (integruje) světlo po dobu asi 0.03s, mohla být fotografická expozice prodloužena na desítky minut. Díky tomu mohly být na snímku zachyceny velmi slabé objekty, vzdálené hvězdy, mlhoviny, galaxie… Byla vyfotografována první spektra nebeských objektů, což umožnilo zkoumat chemické složení vesmíru. První astronomické snímky pořídil Henry Draper, americký fyzik a amatérský astronom. Je autorem i první fotografie velké mlhoviny v Orionu. Na snímku je vidět nejjasnější část mlhoviny, viditelná i pouhým okem.
![]() |
![]() |
Ve dvacátých a třicátých letech dvacátého století umožnila astrofotografie objev a detailní průzkum různých typů proměnných hvězd, přispěla také k výzkumu rozpínání vesmíru. V začátcích kosmonautiky a umělých družic vyslaných k Měsíci a planetám byl fotografický aparát nedílnou součástí jejich vědecké výbavy. Snad největšího ohlasu se vědecké fotografii dostalo po návštěvách posádek Apollo u našeho nejbližšího souputníka Měsíce.
Ve druhé polovině osmdesátých let minulého století se (nejen) v astronomii začala používat místo fotografie polovodičová čidla na bázi CCD (nábojově vázané prvky). Tyto polovodičové detektory mají oproti klasické fotografii řadu výhod – zejména vyšší, na délce expozice nezávislou citlivost. V roce 2009 byla autorům CCD detektorů Williardu Boylemu a Georgovi Smithovi udělena Nobelova cena. Bez těchto elektronických čidel si už dnešní astronomii a kosmonautiku nedokážeme vůbec představit.
Astronomie bývá považována za nejstarší přírodní vědu – není divu: dodnes láká krása hvězdné oblohy člověka k hlubšímu studiu a pochopení „věcí nad námi“. Současná astronomie však romantické počátky hvězdářství téměř ničím nepřipomíná. Astronom profesionál už v kupoli hvězdárny netráví noci pozorováním oblohy dalekohledem. Velké dalekohledy jsou dnes řízeny přes satelit a astronom, přesněji astrofyzik, dnes spíše než do okuláru dalekohledu, pohlíží na obrazovku počítače a analyzuje data pořízená dalekohledem vzdáleným tisíce kilometrů.
To však neznamená, že k pořízení kvalitních snímků noční oblohy je potřeba nějaké speciální vybavení. Digitálním fotoaparátem, nejlépe zrcadlovkou, za použití stativu lze zaznamenat krásu nočního nebe velmi působivě.
Trocha teorie
Ještě než pořídíme první snímek nějakého astronomického objektu, bude užitečné se seznámit se základními odbornými termíny. Astronomové zavedli pro snadnější orientaci na obloze systém souřadnic podobný tomu, který známe z hodin zeměpisu (zeměpisná šířka a délka). Stejně jako na zemském glóbu, tak i nebeské souřadnice se vyjadřují v úhlových stupních, popř. úhlových minutách a sekundách (1 stupeň má 60 úhlových minut nebo 3600 úhlových vteřin). V úhlových jednotkách se také vyjadřují velikosti objektů na obloze.
Určování úhlových velikostí a vzdáleností na obloze chce trošku cviku. Pomoci nám může naše ruka. Když natáhneme ruku a vztyčíme palec, bude palec zakrývat na obloze úhel přibližně 2°. Sevřená pěst bude zabírá na obloze asi 8°, a rozevřená dlaň – od palce k malíku – asi 20°
![]() |
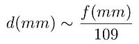
Při fotografování oblohy musíme vzít v úvahu dvě hodnoty – velikost zorného pole fotografické soustavy (objektiv a fotoaparát, resp. velikost senzoru) a velikost fotografovaného objektu na senzoru (čipu/filmu) (nechceme mít Měsíc jako svítící tečku, ale chceme vidět např. krátery, moře, apod.). Velikost zorného pole můžeme snadno určit pomocí jednoduchého vztahu:
kde f je ohnisková objektivu vzdálenost v milimetrech a d je rozměr senzoru (také v milimetrech). Ohnisková vzdálenost je nepřepočítaná, tj. neuvažujeme tzv.crop-factor. Zorné pole (FOV – Field Of View) pro několik hodnot f pro plný formát a APS-C je v následující tabulce:
![]() |
Druhým údajem, který chceme znát, je velikost fotografovaného objektu na výsledném snímku. Tu můžeme spočítat pomocí vzorců geometrické optiky:
![]() |
kde θ je úhlový rozměr objektu v úhlových vteřinách (“) a f je ohnisková vzdálenost objektivu v milimetrech. V případě, že je velikost objektu dána v úhlových minutách, změní se ve vztahu jen hodnota ve jmenovateli
![]() |
Velikost objektu na senzoru d je dána přímo v milimetrech.
Fotografování Slunce a Měsíce
Začněme s fotografováním Slunce a Měsíce, které lze fotografovat i ve dne. Slunce i Měsíc mají na obloze stejnou přibližnou velikost, asi půl stupně, a tak si můžeme vztahy zjednodušit na
![]() |
Velikosti kotoučku Slunce nebo Měsíce na čipu/filmu jsou pro několik ohniskových vzdáleností uvedeny v následující tabulce:
![]() |
Z tabulky je patrné, že bude výhodné využití dlouhých ohniskových vzdáleností, alespoň 400 mm. Je možné použít i starší teleobjektivy z „filmové éry“ v manuálním ostřícím módu.
Důležité upozornění: Většinou se v astronomické fotografii potýkáme s nedostatkem světla. V případě fotografování Slunce nastává pravý opak – světla je příliš a je potřeba jej zeslabit. NIKDY NEFOŤTE/NEPOZORUJTE Slunce BEZ VHODNÉHO FILTRU!!! Hrozí nejen zničení techniky, ale také nevratné poškození zraku!!!
Vhodný je fóliový filtr Baader Astro Solar Safety film, který lze ve formátu A4 koupit např. u prodejců astronomické optiky nebo u Foto Škoda. Návod, jak si jednoduchý filtr vyrobit, najdete třeba zde (pdf).
Výslednou kvalitu fotografií ovlivňují i povětrnostní podmínky. Mezi nebeským objektem a fotoaparátem leží několik desítek kilometrů vzduchu. Ten může obraz Slunce/Měsíce různě deformovat. Při fotografování např. přes rozpálené střechy je těžké správné zaostřit díky „plavání“, tetelení vzduchu. Pokud tedy chceme zachytit na snímku např. měsíční krátery nebo sluneční skvrny, je lepší fotografovat dále od budov a raději v době, kdy je Slunce/Měsíc vysoko nad obzorem.
U Slunce i Měsíce s výhodou využijeme ostření přes živý náhled (Live View). Je lepší si trochu přiclonit, na 5.6–8, podle objektivu. U Slunce můžeme použít nízké ISO (100–200) , u Měsíce, kde už je světla přeci jenom méně, bude někdy nutné použít ISO 400–800. Pokud Váš fotoaparát živý náhled nemá, zaostřete na nějaký vzdálený objekt (sloup elektrického vedení, silueta hradu/rozhledny na obzoru) a přepněte objektiv na manuální ostření. Před fotografováním Slunce nezapomeňte nasadit filtr.
Na Slunci můžeme pozorovat např. sluneční skvrny nebo tzv. fokulová pole.
![]() |
Sluneční skvrny jsou oblasti, které jsou asi o 1000°C chladnější než okolní sluneční „povrch“, který se nazývá fotosféra. Díky tomu se nám jeví jako tmavší. Nejtmavší část se nazývá umbra (stín), o něco světlejší okolí penumbra (polostín). V okolí slunečních skvrn se nacházejí tzv. fokulová pole. Ta lze nejlépe pozorovat poblíž okraje slunečního disku jako světlé oblasti u tmavých skvrn. V současné době roste aktivita Slunce, a tudíž i počet slunečních skvrn, určitě se vám podaří nějakou „zvěčnit“.
Občas se stane, že se mezi Zemi a Slunce dostane jedna z vnitřních planet: Merkur nebo Venuše. Pokud je konstelace obzvláště výhodná, můžeme pozorovat přechod kotoučku planety Merkuru nebo Venuše přes sluneční kotouč. Úkazy jsou to sporadické – např. poslední přechod Merkura přes Slunce nastal začátkem května 2003 a Venuše v červnu o rok později. Další přechod Venuše nastane příští rok, 6.6.2012. Po dobu asi 2h po východu Slunce se na sluneční disk bude promítat černý kotouček. Pokud bude počasí přát, určitě se na Slunce podívejte (nezapomeňte na vhodný filtr). Další přechod nastane až v roce 2117!
![]() |
Asi nejvíce fotografovaným úkazem je zatmění Slunce. Nastává sice častěji, než zmíněný přechod Venuše přes Slunce, je však pozorovatelný jen z úzké oblasti na Zemi. Z úzkého pásu tzv. totality mohou být zatmění Slunce pozorovaná jako úplná (Měsíc zakryje Slunce zcela) nebo prstencová (Měsíc nezakryje Slunce úplně, ze Slunce „zbyde“ svítící mezikruží). Mimo tuto oblast lze zatmění pozorovat jako částečná, tj. Měsíc Slunce jakoby vykousne. Úplné zatmění Slunce je úkaz z astronomického hlediska velmi krátký – může trvat maximálně sedm a půl minuty, většinou je však kratší. Z našeho území nebude v nejbližších letech pozorovatelné žádné úplné zatmění, poslední částečné zatmění bylo pozorovatelné 4.1.2010. Nejbližší prstencové zatmění Slunce proběhne v květnu 2012 a bude pozorovatelné např. v USA, k úplnému zatmění dojde v listopadu 2012 a bude pozorovatelné z jižní polokoule (Austrálie).
Fotografování zatmění Slunce jsou věnovány speciální internetové stránky amerického úřadu NASA, kde zájemce nalezne vyčerpávající informace. Zde uvedeme jen stručné shrnutí v několika bodech.
- V úplné fázi zatmění se zviditelní i vrchní část sluneční atmosféry, takzvaná koróna – proto je výhodné použít objektiv s ohniskovou vzdáleností f=300–500mm.
- V částečné fázi, kdy není Slunce Měsícem zcela zakryto, je NUTNÉ použít vhodný filtr na zeslabení světla. Je možné fotografovat s nižším ISO, časy vycházejí mezi 1/60–1/125s pro ISO 100.
- Těsně před úplnou fází zasvítí poslední nezakryté části slunečního povrchu a vzniká efekt tzv. diamantového prstenu. Ten nastává asi 30 sekund před a 30s po skončení úplného zatmění. Tento efekt je nutné fotit již bez filtru. Časy se výrazně zkrátí – 1/2000–1/1000s (při cloně 5.6–8).
- Úplná fáze se fotografuje bez filtru. Bíle svítící korona má velmi vysoký dynamický rozsah a je možné při troše šikovnosti nafotit sérii snímků s prodlužujícími se časy expozice. Korona může dosahovat až do vzdálenosti několika slunečních disků daleko. Po skončení úplné fáze je NUTNÉ opět NASADIT SLUNEČNÍ FILTR, aby nedošlo k poškození fotoaparátu a zraku.
![]() |
![]() |
![]() |
Fotografie úplného zatmění Slunce 29.3.2006. Fotografováno na film ISO 400, clona 12, částečná fáze 1/500s, diamantový prsten 1/250s, úplná fáze 1/10s. Na snímku „prstenu“ lze přibližně na „desáté hodině“ spatřit malý plamínek – to je sluneční erupce.
Fotografování Měsíce je oproti fotografování Slunce bezpečnější. Ani když je Měsíc v úplňku nehrozí poškození zraku. K fotografování se hodí období zejména mezi novem a 2–3 dny po první čtvrti (nebo mezi 4 dny po úplňku do novu). Důvodem je poloha Měsíce vzhledem ke Slunci. V úplňku je Slunce na Měsíci v nadhlavníku a hory a krátery nevrhají téměř žádné stíny – povrch se jeví plochý. Stejně jako v případě Slunce, je lepší fotografovat Měsíc pomocí teleobjektivu, aby velikost kotoučku Měsíce byla na senzoru/filmu co největší.
Můžete zkusit vyfotografovat Měsíc barevně. Lidské oko nevnímá povrch Měsíce jako barevný ani v úplňku. Světla je na barevné čití ještě velmi málo. Fotografie nám v této chvíli může pomoci. S fotoaparátem a stativem se uchýlíme někam, kde neruší pouliční osvětlení. Vezmeme s sebou ještě arch bílého papíru (zkušení fotografové berou 18% šedou kartičku). Papír nastavíme měsíčnímu svitu a vyfotíme. Tento snímek použijeme pro vyvážení bílé ve fotoaparátu. Naexponujeme Měsíc. Pak už jen doma na počítači zvýšíme saturaci barev a můžeme dostat stejný snímek, jako je uveden na obrázku níže:
![]() |
![]() |
Rozdílné barvy na povrchu Měsíce jsou dány různým mineralogickým složením různě starých a jinak vytvořených oblastí. Tabulka expozičních parametrů je uvedena níže:
![]() |
Pokud Měsíc zakryje Slunce, nastává zatmění Slunce. V případě, že Měsíc vstoupí do stínu Země, který vrhá ve směru od Slunce, nastává zatmění Měsíce. Úkaz to sice není tak impozantní jako zatmění Slunce, přesto stojí nejen za pozorování, ale i za fotografování. Poslední zatmění Měsíce pozorovatelné z našeho území nastalo 10. prosince ve večerních hodinách.
![]() |
A tady první část věnovanou astronomické fotografii zakončíme. V příštím díle se přesuneme na noční oblohu a podíváme se na to, jak fotografovat planety a souhvězdí.
















